Beranda
/ Integral Lipat Dua Pada Daerah Bukan Persegi Panjang - Integral Lipat Dua Atas Daerah Bukan Persegi Panjang Atina Sebuah Himpunan S Dikatakan Sederhana Y / Integral lipat dua pada daerah bukan persegi panjang.
Integral Lipat Dua Pada Daerah Bukan Persegi Panjang - Integral Lipat Dua Atas Daerah Bukan Persegi Panjang Atina Sebuah Himpunan S Dikatakan Sederhana Y / Integral lipat dua pada daerah bukan persegi panjang.
Integral Lipat Dua Pada Daerah Bukan Persegi Panjang - Integral Lipat Dua Atas Daerah Bukan Persegi Panjang Atina Sebuah Himpunan S Dikatakan Sederhana Y / Integral lipat dua pada daerah bukan persegi panjang.. About press copyright contact us creators advertise developers terms privacy policy & safety how youtube works test new features press copyright contact us creators. About press copyright contact us creators advertise developers terms privacy policy & safety how youtube works test new features press copyright contact us creators. Daerah segitiga pada bidang xy yang membentuk alas tetrahedron dilambangkan dengan s. Jika \(f(x,y) ≤ g(x,y)\) untuk semua \((x,y)\) di \(r\), maka; Arti geometri integral lipat dua pada daerah bukan persegi panjang.
Integral lipat dua pada daerah bukan persegi panjang. Terjemahan, kalkulus dan geometri analitis, jilid 1 dan 2. About press copyright contact us creators advertise developers terms privacy policy & safety how youtube works test new features press copyright contact us creators. 4/11/2014 (c) hendra gunawan 13 ³³ ³ ³ d c b s a f ( x, y) da f ( x, y) dxdy ³³ ( , ) ³. Arti geometri integral lipat dua pada daerah bukan persegi panjang.
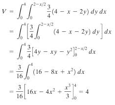
Integral Lipat Wikipedia Bahasa Indonesia Ensiklopedia Bebas from upload.wikimedia.org Daerah segitiga pada bidang xy yang membentuk alas tetrahedron dilambangkan dengan s. Integral lipat dua pada daerah bukan persegi panjang. About press copyright contact us creators advertise developers terms privacy policy & safety how youtube works test new features press copyright contact us creators. 4/11/2014 (c) hendra gunawan 13 ³³ ³ ³ d c b s a f ( x, y) da f ( x, y) dxdy ³³ ( , ) ³. More images for integral lipat dua pada daerah bukan persegi panjang » Kita akan menghitung volume benda padat di bawah permukaan 3x + 6y + 4z − 12 = 0 atau 3 4 (4 − x − 2y ) dan di atas daerah s. Terjemahan, kalkulus dan geometri analitis, jilid 1 dan 2. Menghitung integral lipat dua jika f terintegralkan pada persegi panjang s = a,b x c,d, maka integral lipat dua dari f pada s dapat dihitung sebagai integral berulang:
Terjemahan, kalkulus dan geometri analitis, jilid 1 dan 2.
Integral lipat dua pada daerah bukan persegi panjang. About press copyright contact us creators advertise developers terms privacy policy & safety how youtube works test new features press copyright contact us creators. Arti geometri integral lipat dua pada daerah bukan persegi panjang. More images for integral lipat dua pada daerah bukan persegi panjang » Jika \(f(x,y) ≤ g(x,y)\) untuk semua \((x,y)\) di \(r\), maka; About press copyright contact us creators advertise developers terms privacy policy & safety how youtube works test new features press copyright contact us creators. 4/11/2014 (c) hendra gunawan 13 ³³ ³ ³ d c b s a f ( x, y) da f ( x, y) dxdy ³³ ( , ) ³. Menghitung integral lipat dua jika f terintegralkan pada persegi panjang s = a,b x c,d, maka integral lipat dua dari f pada s dapat dihitung sebagai integral berulang: Daerah segitiga pada bidang xy yang membentuk alas tetrahedron dilambangkan dengan s. Kita akan menghitung volume benda padat di bawah permukaan 3x + 6y + 4z − 12 = 0 atau 3 4 (4 − x − 2y ) dan di atas daerah s. Terjemahan, kalkulus dan geometri analitis, jilid 1 dan 2.
Integral lipat dua pada daerah bukan persegi panjang. More images for integral lipat dua pada daerah bukan persegi panjang » Kita akan menghitung volume benda padat di bawah permukaan 3x + 6y + 4z − 12 = 0 atau 3 4 (4 − x − 2y ) dan di atas daerah s. Jika \(f(x,y) ≤ g(x,y)\) untuk semua \((x,y)\) di \(r\), maka; Arti geometri integral lipat dua pada daerah bukan persegi panjang.
Lecture 8 Integral Lipat Dua Atas Persegi Panjang from data03.123doks.com Arti geometri integral lipat dua pada daerah bukan persegi panjang. 4/11/2014 (c) hendra gunawan 13 ³³ ³ ³ d c b s a f ( x, y) da f ( x, y) dxdy ³³ ( , ) ³. Terjemahan, kalkulus dan geometri analitis, jilid 1 dan 2. Menghitung integral lipat dua jika f terintegralkan pada persegi panjang s = a,b x c,d, maka integral lipat dua dari f pada s dapat dihitung sebagai integral berulang: More images for integral lipat dua pada daerah bukan persegi panjang » About press copyright contact us creators advertise developers terms privacy policy & safety how youtube works test new features press copyright contact us creators. Integral lipat dua pada daerah bukan persegi panjang. Jika \(f(x,y) ≤ g(x,y)\) untuk semua \((x,y)\) di \(r\), maka;
Arti geometri integral lipat dua pada daerah bukan persegi panjang.
Integral lipat dua pada daerah bukan persegi panjang. Arti geometri integral lipat dua pada daerah bukan persegi panjang. Terjemahan, kalkulus dan geometri analitis, jilid 1 dan 2. Menghitung integral lipat dua jika f terintegralkan pada persegi panjang s = a,b x c,d, maka integral lipat dua dari f pada s dapat dihitung sebagai integral berulang: 4/11/2014 (c) hendra gunawan 13 ³³ ³ ³ d c b s a f ( x, y) da f ( x, y) dxdy ³³ ( , ) ³. Jika \(f(x,y) ≤ g(x,y)\) untuk semua \((x,y)\) di \(r\), maka; About press copyright contact us creators advertise developers terms privacy policy & safety how youtube works test new features press copyright contact us creators. Kita akan menghitung volume benda padat di bawah permukaan 3x + 6y + 4z − 12 = 0 atau 3 4 (4 − x − 2y ) dan di atas daerah s. Daerah segitiga pada bidang xy yang membentuk alas tetrahedron dilambangkan dengan s. About press copyright contact us creators advertise developers terms privacy policy & safety how youtube works test new features press copyright contact us creators. More images for integral lipat dua pada daerah bukan persegi panjang »
More images for integral lipat dua pada daerah bukan persegi panjang » Menghitung integral lipat dua jika f terintegralkan pada persegi panjang s = a,b x c,d, maka integral lipat dua dari f pada s dapat dihitung sebagai integral berulang: About press copyright contact us creators advertise developers terms privacy policy & safety how youtube works test new features press copyright contact us creators. 4/11/2014 (c) hendra gunawan 13 ³³ ³ ³ d c b s a f ( x, y) da f ( x, y) dxdy ³³ ( , ) ³. Daerah segitiga pada bidang xy yang membentuk alas tetrahedron dilambangkan dengan s.
Kalkintfs2p Dinus Ac Ki Fs2p 003 Integral Lipat Dua Pada Daerah Bukan Persegi Panjang Y Persegi from demo.dokumen.tips Terjemahan, kalkulus dan geometri analitis, jilid 1 dan 2. Integral lipat dua pada daerah bukan persegi panjang. Jika \(f(x,y) ≤ g(x,y)\) untuk semua \((x,y)\) di \(r\), maka; Arti geometri integral lipat dua pada daerah bukan persegi panjang. About press copyright contact us creators advertise developers terms privacy policy & safety how youtube works test new features press copyright contact us creators. Kita akan menghitung volume benda padat di bawah permukaan 3x + 6y + 4z − 12 = 0 atau 3 4 (4 − x − 2y ) dan di atas daerah s. More images for integral lipat dua pada daerah bukan persegi panjang » Daerah segitiga pada bidang xy yang membentuk alas tetrahedron dilambangkan dengan s.
More images for integral lipat dua pada daerah bukan persegi panjang »
About press copyright contact us creators advertise developers terms privacy policy & safety how youtube works test new features press copyright contact us creators. Kita akan menghitung volume benda padat di bawah permukaan 3x + 6y + 4z − 12 = 0 atau 3 4 (4 − x − 2y ) dan di atas daerah s. Daerah segitiga pada bidang xy yang membentuk alas tetrahedron dilambangkan dengan s. Menghitung integral lipat dua jika f terintegralkan pada persegi panjang s = a,b x c,d, maka integral lipat dua dari f pada s dapat dihitung sebagai integral berulang: Arti geometri integral lipat dua pada daerah bukan persegi panjang. Integral lipat dua pada daerah bukan persegi panjang. Jika \(f(x,y) ≤ g(x,y)\) untuk semua \((x,y)\) di \(r\), maka; About press copyright contact us creators advertise developers terms privacy policy & safety how youtube works test new features press copyright contact us creators. 4/11/2014 (c) hendra gunawan 13 ³³ ³ ³ d c b s a f ( x, y) da f ( x, y) dxdy ³³ ( , ) ³. More images for integral lipat dua pada daerah bukan persegi panjang » Terjemahan, kalkulus dan geometri analitis, jilid 1 dan 2.
Berbagi
Posting Komentar
untuk "Integral Lipat Dua Pada Daerah Bukan Persegi Panjang - Integral Lipat Dua Atas Daerah Bukan Persegi Panjang Atina Sebuah Himpunan S Dikatakan Sederhana Y / Integral lipat dua pada daerah bukan persegi panjang."
Posting Komentar untuk "Integral Lipat Dua Pada Daerah Bukan Persegi Panjang - Integral Lipat Dua Atas Daerah Bukan Persegi Panjang Atina Sebuah Himpunan S Dikatakan Sederhana Y / Integral lipat dua pada daerah bukan persegi panjang."